The simplest example of a variable-area flowmeter is the rotameter, which uses a solid object (called a plummet or float) as a flow indicator, suspended in the midst of a tapered tube:

As fluid flows upward through the tube, a pressure differential develops across the plummet. This pressure differential, acting on the effective area of the plummeting body, develops an upward force (F = P/A). If this force exceeds the weight of the plummet, the plummet moves up. As the plummet moves farther up in the tapered tube, the area between the plummet and the tube walls (through which the fluid must travel) grows larger. This increased flowing area allows the fluid to make it past the plummet without having to accelerate as much, thereby developing less pressure drop across the plummet’s body. At some point, the flowing area reaches a point where the pressure-induced force on the plummeting body exactly matches the weight of the plummet. This is the point in the tube where the plummet stops moving, indicating the flow rate by its position relative to a scale mounted (or etched) on the outside of the tube.
The following rotameter uses a spherical plummet, suspended in a flow tube machined from a solid block of clear plastic. An adjustable valve at the bottom of the rotameter provides a means for adjusting gas flow:

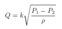
The same basic flow equation used for pressure-based flow elements holds true for rotameters as well:

However, the difference in this application is that the value inside the radicand is constant since the pressure difference will remain constant and the fluid density will likely remain constant as well. Thus, k will change in proportion to Q. The only variable within k relevant to plummet position is the flowing area between the plummet and the tube walls.
Most rotameters are indicating devices only. They may be equipped to transmit flow information electronically by adding sensors to detect the plummet’s position in the tube, but this is not common practice Rotameters are very commonly used as purge flow indicators for pressure and level measurement systems requiring a constant flow of purge fluid. Such rotameters are usually equipped with hand-adjustable needle valves for manual regulation of purge fluid flow rate.
Please check here to know more details about rotameters!